Hi I am trying to fit a guassian plus a line to some MC I have generated and the fit I am getting is not very good. It seems that RooFit is holding all variables constant and just fitting the mean of the Gaussian. This is the chunk of code that does the fitting:
[code]// Fit a Gaussian p.d.f to the data
RooRealVar mean(“mean”,“mean”,5366.77,4000,6500) ;
RooRealVar amp(“amp”,“amp”,100000,4000,6500);
RooRealVar sigma1(“sigma1”,“sigma1”,1000,4000,6500) ;
RooRealVar slope(“slope”,“slope”,15.0,4000,6500);
RooRealVar intercept(“intercept”,“intercept”,-50670,4000,6500);
RooGenericPdf dbgauss(“dbgauss”,“Bs mass”,“ampexp(-0.5(miT_Bs_min_chiSquared_mass-mean)(miT_Bs_min_chiSquared_mass-mean)/sigma1)+slopemiT_Bs_min_chiSquared_mass+intercept”,RooArgSet(miT_Bs_min_chiSquared_mass, mean,sigma1,slope,intercept,amp));
mean.setConstant(kFALSE);
sigma1.setConstant(kFALSE);
slope.setConstant(kFALSE);
intercept.setConstant(kFALSE);
amp.setConstant(kFALSE);
dbgauss.fitTo(dh) ;
dbgauss.plotOn(frame) ;
dbgauss.paramOn(frame);
dh.statOn(frame);[/code]
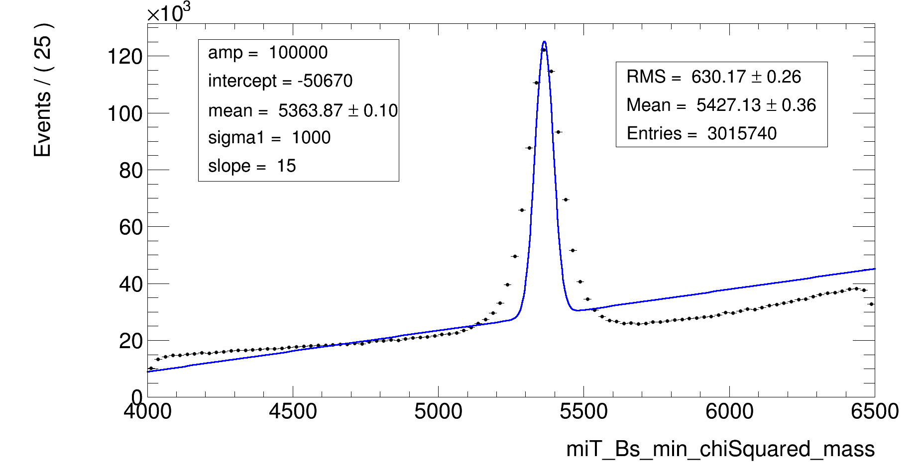
I also attached a picture of the fit. Does anyone know why it isn’t trying to fit all the parameters?
